
HRカンファレンス2021春~ハウス食品研究所が挑む、仕掛けで導く職場変革 “対話”で生まれるエンゲージメント
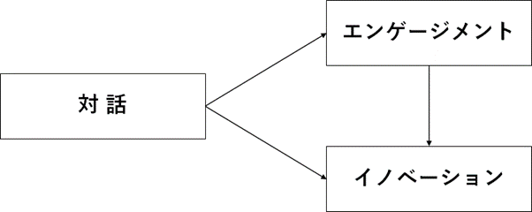
コロナ禍により、変革なくしては生き残れない現代。コミュニケーションの主体がオンラインに移行した今、改めて組織のイノベーション創出にとって「対話」の重要性が明らかになっています。
対話を仕掛けることで組織内の共感度(エンゲージメント)を高め、イノベーションを生み出す行動変容を実現した施策について、ハウス食品研究所 岩国様と、エンゲージメントの専門家であるビジネスリサーチラボ 伊達様とともにご紹介しました。
本レポートでは、講演の内容をダイジェストでお伝えします。

ハウス食品研究所の事例~対話で仕掛ける職場変革~
講演の第1部では、本プロジェクトの推進担当であったハウス食品研究所岩国様と、ご支援を行ったリ・カレントの堀井の対話形式で振り返りを行いました。
当時、岩国様は営業現場と研究所の間に「知らない壁」があると感じていました。営業現場は商品の優位性を見出すのに苦労していた一方、研究所では独自性ある商品開発が行われていました。
営業を経験したのち研究所に異動した岩国様は、営業現場と研究所に対話が必要だと感じたといいます。
岩国様「営業部門にいた当時は、研究所って何をやっているの?という心境でした。全社的には、「オールハウスで」(=全社で協力してやっていこう)というメッセージは発信されていましたが、お互いを知る機会がありませんでした」
岩国様は、営業と研究所の間にあった「知らない壁」の原因は、組織の文化や組織間の連携不足にあると感じていました。岩国様は、研究所に「失敗を恐れる」文化があり、少しでも不確実な要素のある情報を出すことを躊躇する傾向や、異なる部署で同じ材料を発注するなど非効率な在庫管理などに課題を感じていたとのこと。
これらの状況を「もったいない」と感じた岩国様は、研究所のメンバーに対し変化を呼びかけました。
ちょうど研究所の施設をリノベーションするタイミングであり、コミュニケーションが生まれやすいような職場のレイアウト変更など変化を提案しましたが、一方的な提案をするだけでは研究所にいる現場のメンバーに受け入れられないという現実に直面します。
岩国様「研究所では、『今のままでいい』と思う人もたくさんいました。初めは、自分の意見に賛同させなければと思っていましたが、それではうまくいかないことに気づきました。そこで他社でイノベーションに成功した事例を見るなかで、『対話』を生み出す仕掛けに気づいたんです」
岩国様は対話の重要性に気づいてからは、「変わりたくない」という人の意見も尊重しながら、一人ひとりがどうしていきたいか声掛けをする取り組みを始めました。

経営層からも研究所に対し変化を求められており、目に見える変化を見せていかなければならない時期でもありました。研究所内の一人ひとりの意見は受け入れながらも、変わりたい人に積極的な投資をしたり、メンタリングを行うことで、みんなが「変わりたい」と思えるよう対話を仕掛けていきました。
その結果が徐々に現れ、いまでは岩国様のプロジェクトチームに対し社内から相談や提言が増えたと言います。
岩国様「変わることに、不安や恐れを感じている人もいます。初めはそういう意見とぶつかっていましたが、いまでは『一回やってみて、前のほうがよかったら戻そう』くらいの気持ちで接することができるようになりました。今回の研究所の例でいえば、職業柄『間違ってはいけない』と考えがちな人もいるので、思っていることがあってもなかなか言葉にできない人もいると気づきました」
「対話施策の結果はまだまだ発展途上だ」と語る岩国様。今後も対話を継続することで意見しやすい組織づくりがさらに推進されることでしょう。
岩国様「対話は、何も面と向かって話すことだけではありません。目線やしぐさも対話だし、毎日の『おはよう』『おつかれさま』のあいさつも対話です。そういう小さなことでも、毎日積み重ねると、必然的に言葉を交わす量が増えていきます。一日で職場は変わりませんから、継続することが重要ですね」
対話は本当にエンゲージメントやイノベーションに影響する?調査・研究結果から実証
第2部では、株式会社ビジネスリサーチラボの伊達様より、対話・エンゲージメント・イノベーションの3つの関係性について学術的なエビデンスをご紹介いただきました。

①対話→エンゲージメントの関係性について
対話がエンゲージメントに影響するかどうかは、関西の中堅企業の従業員を対象に行った調査によると「影響する」と考えられます。(出所:北居明(2020)「職場における解決志向/問題志向コミュニケーション尺度の開発:予備的分析」『甲南経営研究』第61巻、59-92頁)
当該調査では、解決志向・問題志向という2種類のコミュニケーションについて、エンゲージメントに対する影響を調査しています。
1)解決志向のコミュニケーション…可能性や強みを拡張する
2)問題志向のコミュニケーション…欠点や弱点を指摘する
調査の結果、1)解決思考のコミュニケーションによってエンゲージメントが向上することが示されました。
一方で、2)問題志向のコミュニケーションはエンゲージメントに影響しないことも明らかになりました。
つまり、可能性や強みを伸ばすようなコミュニケーションによって、従業員のエンゲージメントを高めることができると言えます。
②対話→イノベーションの関係性について
海外88社4418名への調査によると、マネジャーによるメンバーに対するコーチングによって、イノベーション行動が促進されたることが示されました。
(出所:Pajuoja, M. and Viitala, R. (2020). Managerial coaching and innovative work behaviour: Different needs in different dimensions. In ISPIM Conference Proceedings (pp. 1-20). The International Society for Professional Innovation Management (ISPIM).)
イノベーション行動は、①アイデア探索、②アイデア創出、③アイデア支持、④アイデア実装の4種類に分類されます。対話は一見アイデア創出に強く影響しそうだと思われますが、実際には、特に④アイデア実装に対して好影響がありました。
つまり、対話はイノベーティブなアイデアを生み出すことはもちろん、 その実現を近づけることにも有効であることが分かります。
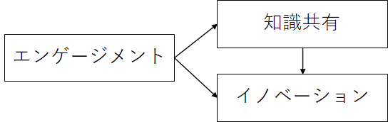
③エンゲージメント→イノベーションの関係性について
韓国の調査によると、エンゲージメントは知識共有およびイノベーションに影響を与え、知識共有もまたイノベーションに影響すると示されています。
(出所:Kim, W. and Park, J. (2017). Examining structural relationships between work engagement, organizational procedural justice, knowledge sharing, and innovative work behavior for sustainable organizations. Sustainability, 9(2), 205.)

このメカニズムについては、エンゲージメントが高いとアイデアをお互いに共有しやすくなり、新たなアイデアへの気付きを促進するからだと説明できます。

伊達様「これらの学術研究をふまえると、ハウス食品研究所様の対話を促す施策は、エンゲージメントやイノベーションに対して有効であり、今後のエンゲージメント向上や、研究所内のイノベーション創出が期待できます」
対話を生み出す仕掛けづくり~組織の共感度の可視化~
第3部では、リ・カレントが考えるエンゲージメントを測る指標「共感度」について、また共感度を可視化するサーベイをご紹介しました。
一般的に、エンゲージメントは組織に対するエンゲージメントと仕事に対するエンゲージメントの2つに分けられます。リ・カレントでは、前者を「組織共感度」、後者を「職務共感度」と名づけ、組織共感度×職務共感度の2軸によって従業員のタイプを4象限に分類しました。

共感度による4象限分類
職務共感度・組織共感度ともに高い「天職・協働タイプ」
職務共感度は高いが組織共感度が低い「自律・独立タイプ」
職務共感度は低いが組織共感度が高い「受動・従属タイプ」
職務共感度・組織共感度ともに低い「受動・妨害タイプ」
リ・カレントが開発したサーベイでは、2軸の「共感度」と、パフォーマンスの観点から全社員を評価し、どのタイプに分類される従業員が多いかを明らかにします。その上で、特に改善するべきポイントを特定し、問題解決施策の立案・実行を進めます。
<アウトプットサンプル>

従来の従業員意識調査による解決策では、従業員の共感を得るためにまだ実施していない施策を洗い出す傾向がありました。リ・カレントのサーベイでは、実施しているものの共感を得られていない施策を洗い出し、やることを増やすのではなく、今やっていることの中で共感を得るためのアプローチを検討できます。
リ・カレントは、個人が持つ知識を共有することで組織の学びに変え、組織の新しい知を生み出すネットワーク型の組織を理想像としています。
個人が持つ才能、知識、技術、経験を組織に還元し、組織が新たな知識を獲得する「組織学習サイクル」を形成するにも、まずは組織内での「対話」が重要と言えるのではないでしょうか。

効率がすべてではない。今こそ対話を
講演は、岩国様・伊達様より職場変革に取り組む人事のみなさまへむけたメッセージで締めくくられました。
伊達様「新型コロナウイルス感染症の影響でテレワークが増え、職場で行われていた雑談や移動時間が短縮されました。これは効率化と言えるわけですが、一方で、それらの効率化によって、コミュニケーションや知識共有の機会が失われています。
対話のような『冗長性』を無駄なものと捉えてしまうと、新しいものが生まれてくる余地がなくなります。組織には効率も冗長さもどちらも必要だと考えてはいかがでしょうか。効率化するべき仕事もあり、エンゲージメント向上やイノベーション創出のように、冗長性が必要な仕事もあります。どの仕事は効率化するべきで、どの仕事は冗長性を大事にするべきかを考えて、役割分担することが重要だと思います。
テレワーク環境で、効率化に目が向きがちないまだからこそ、意図的に対話をつくりだしていきたいところです」
岩国様「ハウス食品研究所のリノベーションの例では、あえてゴミ箱を席の遠くに置いて、人との接触を強制的につくるレイアウトにしました。そういうちょっとした『無駄』の設計で、組織内の対話が生まれます。
組織変革をリードする人事のみなさんは、新しいルールや制度を導入する立場になることが多いかもしれません。ルールをつくるときも、『やぶってはいけない』という発信ではなく、『こんな組織になってほしい』という伝え方をしてほしいと思います。
そして、自分が率先してなりたい姿を示していきましょう。まずは自ら変わろうとする姿を見せることが、組織の共感を生むのではと思います」

